Sunday, August 1, 2021

Policy and procedure do my homework

Policy and procedure do my homework

policy and procedure do my homework

If your Policy And Procedure Do My Homework custom paper is lengthy and consists Policy And Procedure Do My Homework of several chapters, you can take advantage of the Progressive Delivery Policy And Procedure Do My Homework feature. You pay for the completed parts of your assignment that are delivered to you one by one Policy And Procedure Do My Homework spent in vain. Our experts have unlimited writing skills. You can order not only short essays with no particular topic but also complex Policy And Procedure Do My Homework research papers. They know what kind of paper will meet the requirements of your instructor and bring you the desired grade Policy And Procedure Do My Homework the study area. Someone who is ready to help you 24/7/ at! Our service runs Policy And Procedure Do My Homework round-the-clock to meet your writing emergencies timely. Your essay is in safe hands!



Do My Homework for Me - Math Homework Help | blogger.com



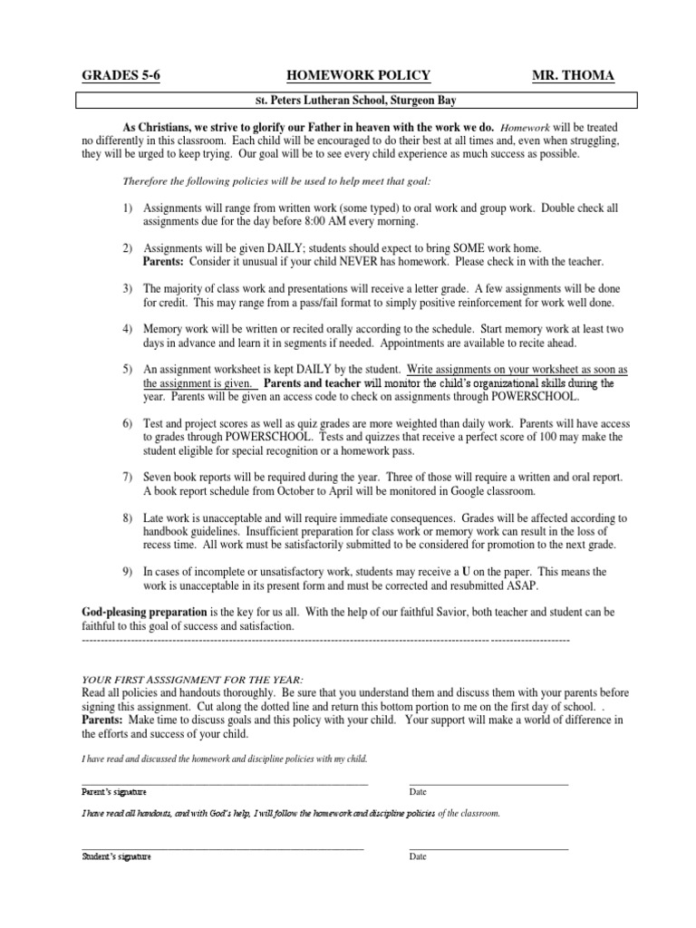
Class Rules. Be Prepared. a marble notebook. a free reading book. a pen and pencil. a highlighter. an assignment book. Be Polite. Respect the personal space and property of others. Respectful body language and no calling out. Participate - Thinking fuels your brain. Be Persistent- Determination. Be Punctual- On time to class. Excessive lateness will result in a detention either during lunch or after school. Classroom Procedures.


Place all handouts in the designated area. Do not shove them into folders or random locations. Ask permission before using the hall pass. Use the same heading on all handouts: Upper right hand corner- Name.


When typing an essay, the name, date, and period will be in the upper left corner. Classroom Routines. Start of Class. Be in your seat, ready to begin, when the bell rings. Independent Reading book out, notebook out, pencil sharpened, highlighter, and pen. refrain from calling out. Working in whole group, small group, independent reading, and computers. Ask permission to leave and take a pass.


Ask 3 BEFORE me…. Put your materials away neatly and clean up computer area. Check that homework has been written in planner. Wait to be dismissed and ticket out the door.


All assignments are due according to teacher direction. HOMEWORK is given nightly and consists of reading Monday, Tuesday, Wednesday, Thursday, and Sunday evening for minutes and writing a response to the text in a journal each evening. Each entry is equal to one point. Homework not completed on time will receive a zero.


These homework assignment are generally due the next day and will be used as a teaching tool at that time. I expect students to do their best job on their homework. I expect homework to be neat. I expect that all assignments be turned in on time. Parents are the key to making homework a positive experience for their child. Therefore, I ask that parents make homework a top priority. Parents can help in the following ways:. Check the Charles Boehm E Homework page daily. Showing interest in the homework their child brings home.


Providing a suitable place to study, free from distractions. Set up a consistent homework time. Supply needed materials for completing homework. Offer to clarify instructions and answer questions. Checking to see that work is completed. For my 7 th and 8 th grade students, policy and procedure do my homework, if homework completion becomes problematic we will need to establish the same communication system aforementioned. Together we can achieve the ideal situation of having each child learn responsibility while developing a sense of accomplishment for a job well done.


Assessments will vary. They will range from writing assignments, multiple choice tests, essay tests, creative projects, and public speaking assignments. Policy and procedure do my homework POLICY. Second Chance Learning. A parent signature is required when the form is returned ensuring policy and procedure do my homework lines of communication. Typically, the assessment will be administered no more than a week later. If you need help, contact Marilyn Quake in the guidance suite.


If you do not have internet access, you can set it up at Charles Boehm in the guidance suite, policy and procedure do my homework. For every day of an excused absence, you will have the same number of days to make up the work. For example, if you have been absent for three days, you will have three days to make up the assignments.


Feel free to contact me any time with good news, questions, or concerns. JDevlin pennsbury. Sign in Recent Site Activity Report Abuse Print Page Powered By Google Sites. Search this site. Boehm Bell Schedule. Book Chats. Classroom Rules, Procedures, and Homework Policy. Close Reading.


Devlin Daily HW. Get to Know Your Teacher. Getting to Know You Student Activity. Getting to Know Your Child Questionnaire. Growth Mindset. Multiple Intelligences. Online Text Books. Parent Information. Pennsbury School Calendar. READ Information and Links. READ Pledge. Reading Skills Checklist and Reading Inventories. Student Resources. Text Dependent Analysis. Text Marking- What is it?


Vocabulary To Know. Class Rules Be Prepared A. a marble notebook, B. a free reading book, policy and procedure do my homework, C. a pen and pencil, D. a highlighter, E. Be Polite Respect the personal space and property of others.


Be Persistent- Determination 5. Be Punctual- On time to class Excessive lateness will result in a detention either during lunch or after school.


Classroom Policy and procedure do my homework Place all handouts in the designated area. Do not shove them into folders or random locations 2. Use the same heading on all handouts: Upper right hand corner- Name Date Period When typing an essay, the name, date, and period will be in the upper left corner. Classroom Routines Start of Class 1. Be in your seat, ready to begin, when the bell rings 2. Independent Reading book out, notebook out, pencil sharpened, highlighter, and pen 3.




Principles of Policy Writing and Writing a Policy Brief

, time: 1:23:36





Classroom Rules, Procedures, and Homework Policy - JDevlin


policy and procedure do my homework

I choose to Policy And Procedure Do My Homework learn from the best. When it comes to learning how Policy And Procedure Do My Homework to write better, blogger.com is that company. The writers there are skillful, humble, passionate, teaching and tutoring from personal experience, and exited to show you the way May 19,  · I received high grade and positive feedback from my instructor Policy And Procedure Do My Homework for exams. The essays were pretty good. It’s a great solution if you need to free up some time. GUARANTEED GRADE. OR GET MONEY BACK! Limited Time Only! Assignment Help Services Reviews - Fast service, nice support, and quality papers. Your essays always pass my school’s plagiarism checks

No comments:

Post a Comment

Essays on sociology

Essays on sociology Sociology Observation Essay Sociology is the study of development and functioning of humans in society, in other words h...